Deep Neural Network Nonlinear Model Predictive Control for CSTR#

Introduction#

The Continuous Stirred Tank Reactor (CSTR) is a fundamental model in chemical engineering, representing a reactor where the contents are well-mixed, ensuring uniform composition and temperature throughout. This report delves into the mathematical modeling of a CSTR, its simulation, and control using a Nonlinear Model Predictive Control (NMPC) strategy integrated with a neural network for predictive behavior.

CSTR Model#

The CSTR dynamics are governed by the mass and energy balance equations:

\[\frac{dC}{dt} = \frac{F}{V}(C_{in} - C) - k(T)C\]
\[\frac{dT}{dt} = \frac{F}{V}(T_{in} - T) + \frac{-\Delta H}{\rho C_p}k(T)C + \frac{Q}{\rho C_p V}\]

The reaction rate is:

\[-r_A = k(T)C_A = k_0 e^{\left( \frac{-E}{RT} \right)}C_A\]

Parameter

Value Description

Initial Flow Rate

Initial volumetric flow rate

Initial Temperature

Initial temperature

Initial Concentration

Initial concentration

Reactor Radius

Reactor radius

Reaction Rate Constant

Reaction rate constant

Activation Energy/Gas Const

Activation energy/gas constant

Heat Transfer Coefficient

Overall heat transfer coefficient

Density

Density

Specific Heat Capacity

Specific heat capacity

Heat of Reaction

Heat of reaction

Small Value

Small value

Mass Fractions

Mass fractions

Input Parameters

Input parameters

Parameter Equations#

\[ F_0 = 0.1~\mathrm{m}^3/\mathrm{min} \]
\[ T_0 = 350.0~\mathrm{K} \]
\[ c_0 = 1.0~\mathrm{kmol}/\mathrm{m}^3 \]
\[ r = 0.219~\mathrm{m} \]
\[ k_0 = 7.2 \times 10^{10}~\mathrm{min}^{-1} \]
\[ \frac{E_b}{R} = 8750~\mathrm{K} \]
\[ U = 54.94~\mathrm{kJ}/(\mathrm{min}\cdot\mathrm{m}^2\cdot\mathrm{K}) \]
\[ \rho = 1000~\mathrm{kg}/\mathrm{m}^3 \]
\[ C_p = 0.239~\mathrm{kJ}/(\mathrm{kg}\cdot\mathrm{K}) \]
\[ \Delta H = -5 \times 10^4~\mathrm{kJ}/\mathrm{kmol} \]
\[ \varepsilon = 1 \times 10^{-5}~\mathrm{m} \]
\[ x_s = [0.878,\,324.5,\,0.659] \]
\[ u_s = [300,\,0.1] \]

Nonlinear Model Predictive Control (NMPC)#

NMPC optimizes control inputs over a prediction horizon to minimize deviations from desired setpoints while respecting constraints.

Parameters#

\[N = 15, \quad dt = 0.25\;\text{seconds}, \quad Tf = 3.75\;\text{seconds}\]

Cost Function#

\[J = \sum_{k=t}^{t+N-1} L(x_k, u_k) + M(x_{t+N})\]

Where:

\[L(x_k, u_k) = (x_k - x_{\text{ref},k})^\top Q (x_k - x_{\text{ref},k}) + (u_k - u_{\text{ref},k})^\top R (u_k - u_{\text{ref},k})\]
\[M(x_{t+N}) = (x_{t+N} - x_{\text{ref},t+N})^\top P (x_{t+N} - x_{\text{ref},t+N})\]

Weights:

\[Q = \text{diag}(1.0 / \textbf{xs}^2), \quad R = \text{diag}(1.0 / \textbf{us}^2)\]
\[\begin{split}P = \begin{bmatrix} 5.9298 & -8.4e{-4} & -1.5454e{-2} \\ -8.4e{-4} & 7.75e{-6} & 2.31e{-5} \\ -1.5454e{-2} & 2.31e{-5} & 2.5945 \end{bmatrix}\end{split}\]

Constraints#

\[\begin{split}\textbf{umin} = \begin{bmatrix} 0.95 \\ 0.85 \end{bmatrix} \times \textbf{us}, \quad \textbf{umax} = \begin{bmatrix} 1.05 \\ 1.15 \end{bmatrix} \times \textbf{us}\end{split}\]

ACADOS Configuration#

  • Solver: SQP / SQP-RTI

  • Integrator: IRK

  • QP Solver: PARTIAL_CONDENSING_HPIPM

  • Condensing: Full (\(N\) intervals)

  • Regularization:

\[\lambda_{\text{LM}} = 1e^{-5}\]

Neural Network Integration#

Data Preparation#

  • Gather time-series data: concentration, temperature, inflow, heat input

  • Scale input/output:

\[\mathbf{X}_{\text{scaled}} = \frac{\mathbf{X} - \mu_{\mathbf{X}}}{\sigma_{\mathbf{X}}}\]

Neural Network Architecture#

  • Input: \( \mathbf{a}_0 = \mathbf{x} \)

  • Hidden layers:

\[\mathbf{a}_i = \text{ReLU}(\mathbf{W}_i \mathbf{a}_{i-1} + \mathbf{b}_i)\]
  • Output:

\[\mathbf{y} = \mathbf{W}_{\text{out}} \mathbf{a}_{\text{last}} + \mathbf{b}_{\text{out}}\]

Training#

  • Loss: Mean Squared Error

\[\text{MSE} = \frac{1}{n} \sum_{i=1}^{n} (\hat{\mathbf{Y}}_i - \mathbf{Y}_i)^2\]
  • Optimizer: Adam or SGD

\[\mathbf{W}_{\text{new}} = \mathbf{W}_{\text{old}} - \alpha \nabla \text{MSE}\]
  • Validation: Prevent overfitting using a held-out validation set.

Results#

Training loss over epochs
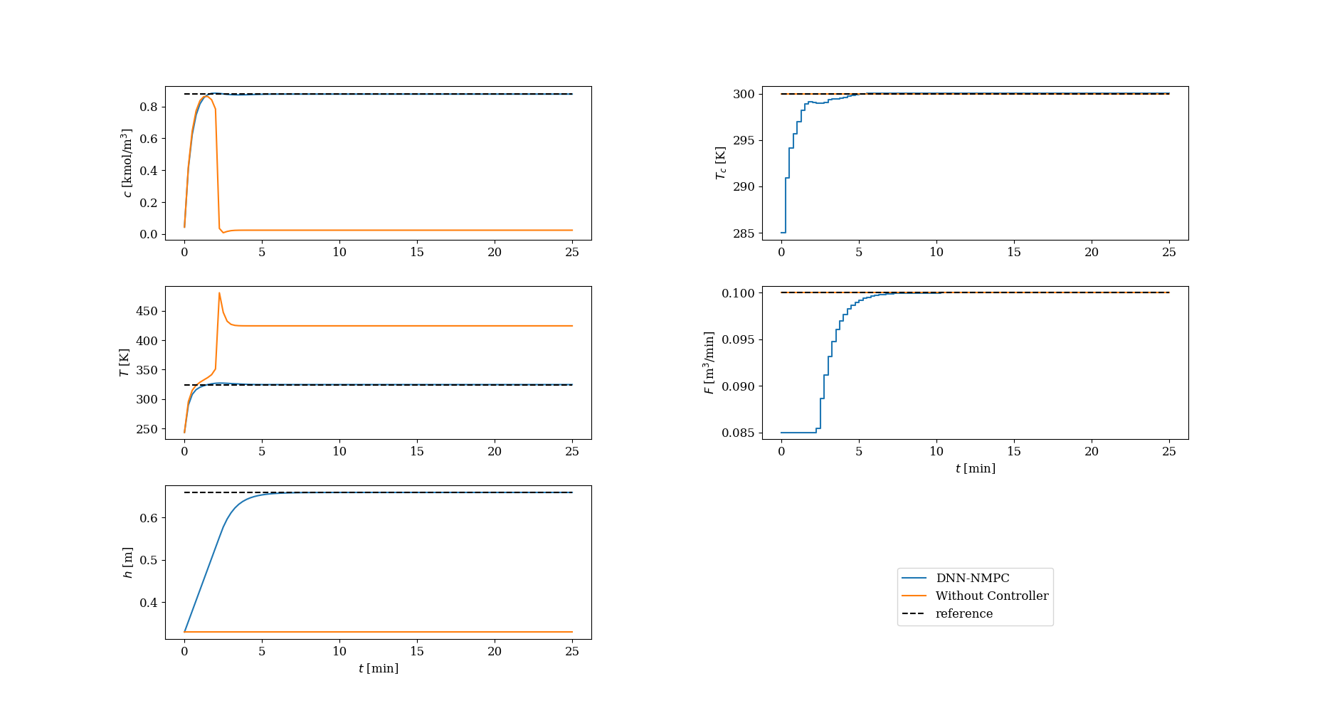
DNN-NMPC simulation results for CSTR

Conclusion#

The CSTR model, integrated with a neural network and controlled via NMPC, represents a sophisticated and powerful approach for managing complex chemical systems. This architecture allows for efficient real-time control and adaptation to dynamic operating conditions.